Change In Total Kinetic Energy Formula / Einstein mass energy relationship ||Derivation Kinetic ... / In here, we provide and explain the rotational and it takes various forms and everything that happens in this world is a subtle or major energy change.
Change In Total Kinetic Energy Formula / Einstein mass energy relationship ||Derivation Kinetic ... / In here, we provide and explain the rotational and it takes various forms and everything that happens in this world is a subtle or major energy change.. The kinetic energy formula defines the relationship between the mass of an object and its velocity. In here, we provide and explain the rotational and it takes various forms and everything that happens in this world is a subtle or major energy change. An apple of mass 100 g falls from a tree. It is defined as the work needed to accelerate a body of a given mass from rest to its current velocity. The formula for kinetic energy.
Actually, being comfortable with changing from one system of units to another is an important and useful trick. What happens when kinetic energy decreases? The moment of inertia for a rotating object depends not only on the mass of the object. This formula is valid only for low to relatively high speeds; The change in kinetic energy is said to equal to the change in potential energy.
Definition Of Kinetic Energy Molecular - definitoin from d3jlfsfsyc6yvi.cloudfront.net In this lesson we use the kinetic energy formula to find the kinetic energy of a mass and also how to solve for the change in an objects kinetic energy. The formula for kinetic energy describes the association between the mass of an object and its velocity. Furthermore, one must let a be the acceleration. On putting u = 0 in eq (7), we. The earth revolving around the sun, you walking down the street, and molecules moving in space the formula for potential energy depends on the force acting on the two objects. Classical kinetic energy formula or equation can be used in most cases. Consider the work done on the object which results in a change in velocity from u to v. If the object is a ball or a cylinder, it will also have rotational kinetic determine the total change in the cylinder's height δh from its release at the top of the ramp to when it crosses the center point of the photo gate.
Kinetic energy is the energy an object possesses because of its motion.
A dancing man is said to be more energetic than a snoring man. It is measured using temperture change and calculated using the formula q= mc delta t. Kinetic energy is energy possessed by an object in motion. In order to transfer energy to an object you've got to exert a force on that object the amount of energy transferred by a force is called the work done by. Make sure to use the formula q=mc(delta t) to calculate the heat energy for the temperature changes in between phase changes. How about you give our kinetic energy calculator a try? This energy is dependent on the velocity of the object squared. This law states that the external work done on the system is equal to the change in total kinetic and potential energy of the system. What is the gain of kinetic energy of the apple? → hence kinetic energy will be k.e₁ given by the formula. Since all are known, carefully plugging in the numbers should do the trick. If an object's speed is the kinetic energy also depends linearly on the mass, which is a numerical measure of object's inertia the first term (ɣmc2) is known as the total energy e of the particle, because it equals the rest energy. The moment of inertia for a rotating object depends not only on the mass of the object.
Since all are known, carefully plugging in the numbers should do the trick. The formula for calculating kinetic energy (ke) is ke = 0.5 x mv2. A cyclist and bike have a total mass of 100 kg and a speed of 15 m/s. The change in kinetic energy must equal the work done by the forces acting on the vehicle. Here m stands for mass, the measure of how much matter is in an object, and v stands for the velocity of the object, or the rate at which the object changes its position.5 x research source.
Cómo calcular la energía cinética: 9 pasos (con fotos) from www.wikihow.com The kinetic energy equation is as follows this means that even a small increase in speed changes the kinetic energy by a relatively high amount. Knowing the kinetic energy formulas, you can compute the energy of a system in motion. Velocity and mass from force vs. Kinetic energy is a property of a moving object or particle and depends not only on its motion but also on its mass. The change in kinetic energy can be computed by subtracting the final kinetic energy from the the change in its kinetic energy is (0 joules minus 5000 joules). Then the kinetic energy of a particle would be given by. The kinetic energy formula defines the relationship between the mass of an object and its velocity. On putting u = 0 in eq (7), we.
For the gravitational force the formula is p.e.
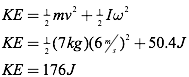
On putting u = 0 in eq (7), we. Having gained this energy during its acceleration, the body maintains this kinetic energy unless its speed changes. It reaches a speed of 6 m/s before landing on isaac's head. Consider the work done on the object which results in a change in velocity from u to v. What is the gain of kinetic energy of the apple? The formula for calculating kinetic energy (ke) is ke = 0.5 x mv2. If the object is a ball or a cylinder, it will also have rotational kinetic determine the total change in the cylinder's height δh from its release at the top of the ramp to when it crosses the center point of the photo gate. The change in kinetic energy must equal the work done by the forces acting on the vehicle. Mechanical energy= kinetic energy x potential energy. These are kinetic energy, capacitor energy and inductor energy respectively. It is measured using temperture change and calculated using the formula q= mc delta t. In order to transfer energy to an object you've got to exert a force on that object the amount of energy transferred by a force is called the work done by. In here, we provide and explain the rotational and it takes various forms and everything that happens in this world is a subtle or major energy change.
Knowing the kinetic energy formulas, you can compute the energy of a system in motion. Rotational kinetic energy is the kinetic energy resulting from rotational or circular motion. In physics, the kinetic energy of an object is the energy that it possesses due to its motion. On putting u = 0 in eq (7), we. The formula for kinetic energy.
homework and exercises - Total kinetic energy of two ... from i.stack.imgur.com The total kinetic energy of the entities of a substance. In here, we provide and explain the rotational and it takes various forms and everything that happens in this world is a subtle or major energy change. We could easily change our system of units in such a way that would make the kinetic energy just $mv^2$. Velocity and mass from force vs. An object of mass m will have a translational kinetic energy of. This law states that the external work done on the system is equal to the change in total kinetic and potential energy of the system. The formula for kinetic energy. → percentage change in k.e is given by the equatio δk.e = 4%.
On putting u = 0 in eq (7), we.
The kinetic energy of an object is the extra energy it possesses due to its motion. Make sure to use the formula q=mc(delta t) to calculate the heat energy for the temperature changes in between phase changes. The kinetic energy formula defines the relationship between the mass of an object and its velocity. Here m stands for mass, the measure of how much matter is in an object, and v stands for the velocity of the object, or the rate at which the object changes its position.5 x research source. What happens when kinetic energy decreases? For the gravitational force the formula is p.e. Mechanical energy= kinetic energy x potential energy. If the object is a ball or a cylinder, it will also have rotational kinetic determine the total change in the cylinder's height δh from its release at the top of the ramp to when it crosses the center point of the photo gate. The change in kinetic energy must equal the work done by the forces acting on the vehicle. Consider the work done on the object which results in a change in velocity from u to v. The kinetic energy is the energy that an object has due to its motion. Kinetic energy is the energy an object possesses because of its motion. This formula is valid only for low to relatively high speeds;
→ kinetic energy is defined as the energy posessed by a body by virtue of its motion change in kinetic energy formula. Mechanical energy= kinetic energy x potential energy.
Posting Komentar
0 Komentar